고강도 달리기가 프리미어 축구 선수들의 피로도에 미치는 영향

💡
안녕하세요. 오늘의 주제는 시즌 중, 축구 선수들에게 미치는 피로 요인이 어떤 것들이 있는지, 얼마나 관계가 있는지에 대한 내용입니다.
이 주제의 논문 제목은 [고강도 달리기가 프리미어 축구 선수들의 피로도에 미치는 영향]입니다. 이 논문이 게재된 저널은 International Journal of Sports Physiology and Performance이고, 2015년도에 게재되었습니다. 이 저널은 스포츠 사이언스 관련 저널 총 88개 중 22위에 해당하는 Q1 등급의 저널로 IF(인용지수)가 4.010에 육박할정도로 우수한 저널에 속합니다.
■ 주된 내용은 10명의 축구 선수들을 대상으로 17일간의 경기와 훈련 중간에 GPS 데이터(총 고강도 달리기 거리), 웰니스 상태 자가 척도(피도로, 수면의 질, 근육 통증), 신경근 능력을 알아보기 위한 반동동작점프, 심박수 관련 변인을 측정하여 각각의 변인들이 어떠한 관계를 갖고 있는지 알아보는 것이었습니다.
■ 결과를 종합해보면 경기나 훈련 중 고강도로 달린 양이 많을수록 선수들의 피로도는 높아진다는 것이고, 통계 분석 결과(회귀 모델 기울기를 통해) 총 고강도 달리기 거리가 400m 늘어날수록 피도로(1~7점) 점수가 1점씩 하락한다는 것을 알 수 있었습니다. 또한 총 고강도 달리기 거리가 늘어났다는 것은 훈련 부하가 높아졌다는 의미인데 부하가 높아질수록 심박수 회복 능력 점수가 떨어지는 것으로 나타났고, 신경근 활성화를 유도하여 훈련 부하가 늘어날수록 반동동작점프가 높아진다는 결과를 보였습니다. 이 밖에 총 고강도 달리기 거리가 수면의 질과 근육의 통증, 예비 심박수(예비 심박수가 높을수록 체력이 좋아진 것임)에는 영향을 미치지 않았습니다.
■ 결과적으로 경기와 훈련 중 고강도의 훈련 부하는 선수들의 피로에 밀접한 영향을 미치며 고강도 트레이닝이 선수들의 신경근 활성화에 영향을 미치기 때문에 적절한 훈련 강도를 조절하는 것이 매우 중요하다는 것을 알 수 있었습니다. 자세한 논문의 내용은 아래에서 확인하실 수 있습니다.
이 주제의 논문 제목은 [고강도 달리기가 프리미어 축구 선수들의 피로도에 미치는 영향]입니다. 이 논문이 게재된 저널은 International Journal of Sports Physiology and Performance이고, 2015년도에 게재되었습니다. 이 저널은 스포츠 사이언스 관련 저널 총 88개 중 22위에 해당하는 Q1 등급의 저널로 IF(인용지수)가 4.010에 육박할정도로 우수한 저널에 속합니다.
■ 주된 내용은 10명의 축구 선수들을 대상으로 17일간의 경기와 훈련 중간에 GPS 데이터(총 고강도 달리기 거리), 웰니스 상태 자가 척도(피도로, 수면의 질, 근육 통증), 신경근 능력을 알아보기 위한 반동동작점프, 심박수 관련 변인을 측정하여 각각의 변인들이 어떠한 관계를 갖고 있는지 알아보는 것이었습니다.
■ 결과를 종합해보면 경기나 훈련 중 고강도로 달린 양이 많을수록 선수들의 피로도는 높아진다는 것이고, 통계 분석 결과(회귀 모델 기울기를 통해) 총 고강도 달리기 거리가 400m 늘어날수록 피도로(1~7점) 점수가 1점씩 하락한다는 것을 알 수 있었습니다. 또한 총 고강도 달리기 거리가 늘어났다는 것은 훈련 부하가 높아졌다는 의미인데 부하가 높아질수록 심박수 회복 능력 점수가 떨어지는 것으로 나타났고, 신경근 활성화를 유도하여 훈련 부하가 늘어날수록 반동동작점프가 높아진다는 결과를 보였습니다. 이 밖에 총 고강도 달리기 거리가 수면의 질과 근육의 통증, 예비 심박수(예비 심박수가 높을수록 체력이 좋아진 것임)에는 영향을 미치지 않았습니다.
■ 결과적으로 경기와 훈련 중 고강도의 훈련 부하는 선수들의 피로에 밀접한 영향을 미치며 고강도 트레이닝이 선수들의 신경근 활성화에 영향을 미치기 때문에 적절한 훈련 강도를 조절하는 것이 매우 중요하다는 것을 알 수 있었습니다. 자세한 논문의 내용은 아래에서 확인하실 수 있습니다.
개요
- 훈련과 경기 중 스트레스(부하)는 선수들의 경기력에 부정적인 영향을 미친다. 따라서 효과적인 휴식이 중요한데 회복을 위해 훈련 및 경기 부하의 변동성을 민감하게 살펴봐야 한다.
- 여러가지 모니터링 중 급성 체크 즉, 매일 부하의 양을 체크하는 것이 가장 효과적이다.
- 이 연구에서는 시즌 중 엘리트 축구 선수들의 일일 훈련 부하와 잠재적인 피로의 측정 범위 간 관계성에 대해서 알아보고자 하였다.
연구 대상자 및 측정 주의 사항
- 프리미어리그에서 뛰는 10명의 축구 선수(19.1±0.6세, 184±7cm, 75.4±7.6kg).
- 피로도 평가 당일에는 측정 시간 12시간 전부터 카페인의 섭취를 최대한 자제시켰다.
- 훈련을 시작하기 전에 피로를 측정하였다.
- 하루에도 계속적으로 선수들의 체온이 시간에 따라 변화하기 때문에 모든 측정은 하루 중 같은 시간으로 정하여 체온의 일관성을 유지했다.
- 피로 평가 중에는 음식의 섭취가 허용되지 않았다.
측정
- 17일간 평가를 하였고 GPS 기술을 이용해 각 훈련 세션 및 경기 중 GPS 데이터를 측정하였다.
- GPS는 속도의 가속구간, 감속구간, 순간속도 등을 측정하였다.
- 선수들의 건강 상태를 보기 위해 웰니스 질문지(피로도, 수면의 질, 근육의 통증)를 측정하였다.
- 웰니스 질문지의 각 문항은 1점~7점으로 구성되었다.
- 반동동작 점프(Counter Movement Jump) 동작을 측정하였는데 점프 하는 동안에 양손이 엉덩이에 부착되도록 하면서 연습 2회, 평가 점프 3회로 총 5회의 점프를 수행하게 하였다. 평가 점프 3회 중 가장 기록이 좋은 점프 수치를 사용하였다.
- 각 세션 시작 전 웜업의 요량으로 사이클(5분 사이클링/5분 휴식) 측정을 최대하로 실내에서 진행됐다(모든 선수들은 130W<85 rpm의 속도로 고정하여 측정하였다).
- 폴라를 이용하여 심박수 회복(HRR : Heart Rate Recovery)과 심박수 인접 정규 R-R 구간(R-R interval)의 차이 값을 제곱한 평균의 제곱근을 rMSSD라고 하는데 rMSSD를 자연 로그 식으로 다시 계산한 Ln rMSSD 값을 본 연구에서 사용하였다.
✅ rMSSD
폴라를 이용하여 심박수 회복(HRR : Heart Rate Recovery)과 심박수 인접 정규 R-R 구간(R-R interval)의 차이 값을 제곱한 평균의 제곱근을 rMSSD라고 하는데 rMSSD를 자연 로그 식으로 다시 계산한 Ln rMSSD 값을 본 연구에서 사용하였다.
✅ Ln rMSSD
rMSSD에 자연 로그 함수 값을 적용하면 심박수 변이 계수의 값이 훈련 부하에 더 민감하게 적용시킬 수 있다. 평균 4.5m를 기준으로 Ln rMSSD가 낮을 수록 고강도 훈련에 대한 심박 회복 능력이 좋다고 볼 수 있는데 4.5가 넘어가면 위험 수준으로 판단한다. 보통 체력이 좋은 엘리트 선수들은 3ms 내외로 나타난다.
폴라를 이용하여 심박수 회복(HRR : Heart Rate Recovery)과 심박수 인접 정규 R-R 구간(R-R interval)의 차이 값을 제곱한 평균의 제곱근을 rMSSD라고 하는데 rMSSD를 자연 로그 식으로 다시 계산한 Ln rMSSD 값을 본 연구에서 사용하였다.
✅ Ln rMSSD
rMSSD에 자연 로그 함수 값을 적용하면 심박수 변이 계수의 값이 훈련 부하에 더 민감하게 적용시킬 수 있다. 평균 4.5m를 기준으로 Ln rMSSD가 낮을 수록 고강도 훈련에 대한 심박 회복 능력이 좋다고 볼 수 있는데 4.5가 넘어가면 위험 수준으로 판단한다. 보통 체력이 좋은 엘리트 선수들은 3ms 내외로 나타난다.
결과
- 17일 간 훈련 부하 및 피로 변인의 변동성은 아래에 제시한 그림 1에서 그림 4까지와 같다.
- THIR(total high-intensity-running) 거리(115% : p < .001)에서는 일별 변동이 통계적으로 유의하게 나타났다.
- 건강 척도 검사(웰니스 질문지)에서 피로도, 수면의 질, 통증 변인은 각각 **16%, 18%, 19%**로 나타났다(p < .05).
- 심박수 변인과 CMJ는 각각 **12%, 4%**로 나타났다(p < .05).
- THIR 거리와 피로 변인 간 유의차와 편상관분석(partial correlations), 최소 기울기 회귀 기울기(least-squares regression slope)는 Table 1과 같다.
- 전날의 THIR 거리에 따른 피로 변인의 변동성은 큰 상관관계를 나타냈고(r = -.51, p < .001), 심박수 변인은 작은 상관관계(r = =.24, p < .04), CMJ도 작은 상관관계(r = .23, p = .04)를 나타냈다. 하지만 수면의 질, 근육의 통증, HRR(심박수 회복)에서는 매우 낮은 상관관계를 보였고 통계적으로도 유의하지 않았다.
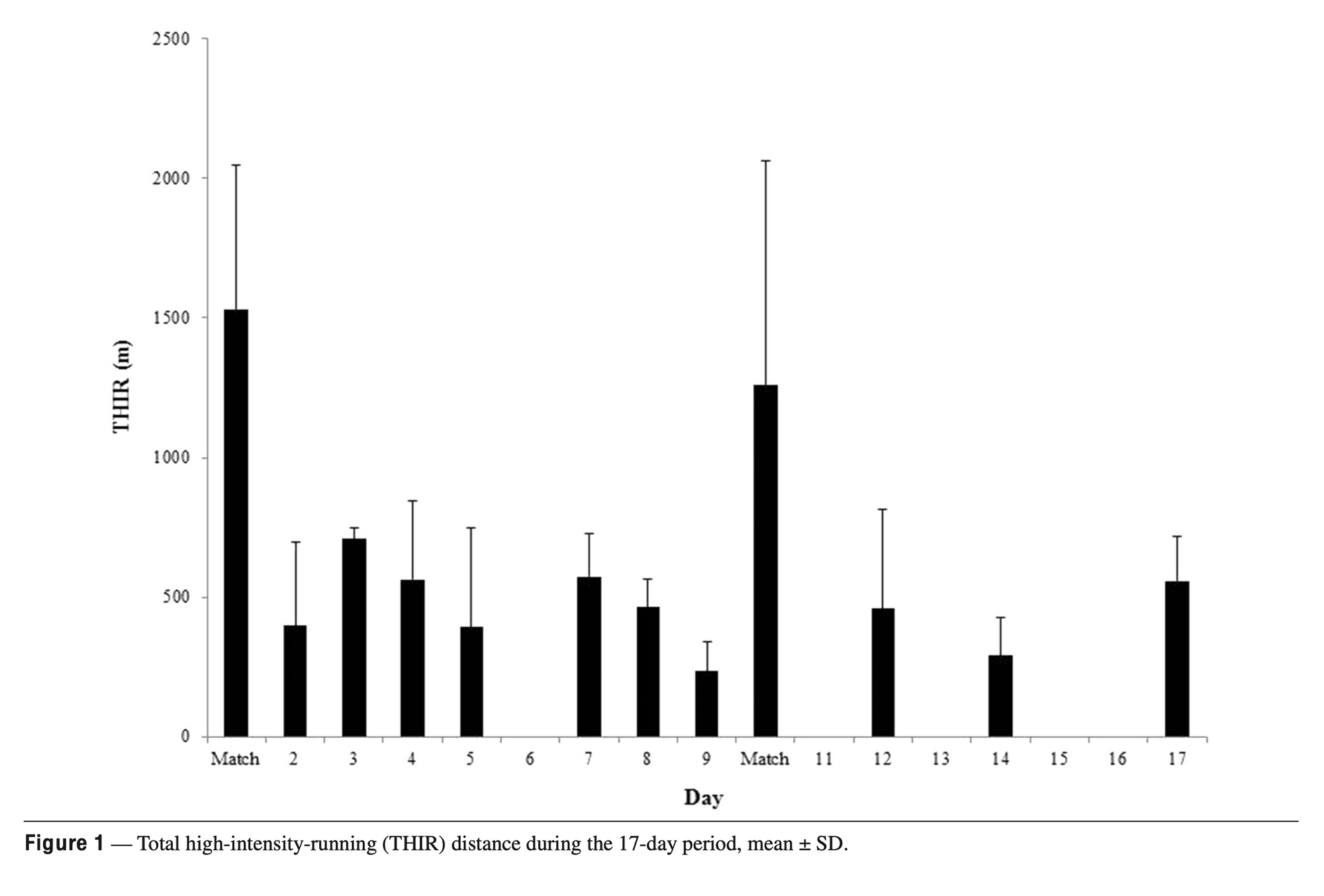
(그림 1) 17일간의 총 고강도 러닝(THIR-Total high-intensity-running) 거리

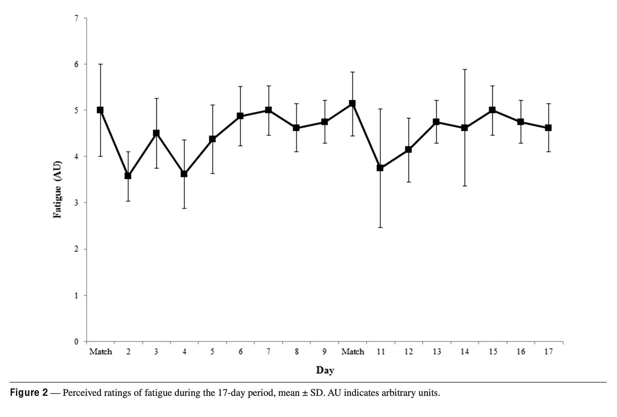
(그림 2) 17일간 피로도 점수

(그림 3) 17일간 CMJ 높이

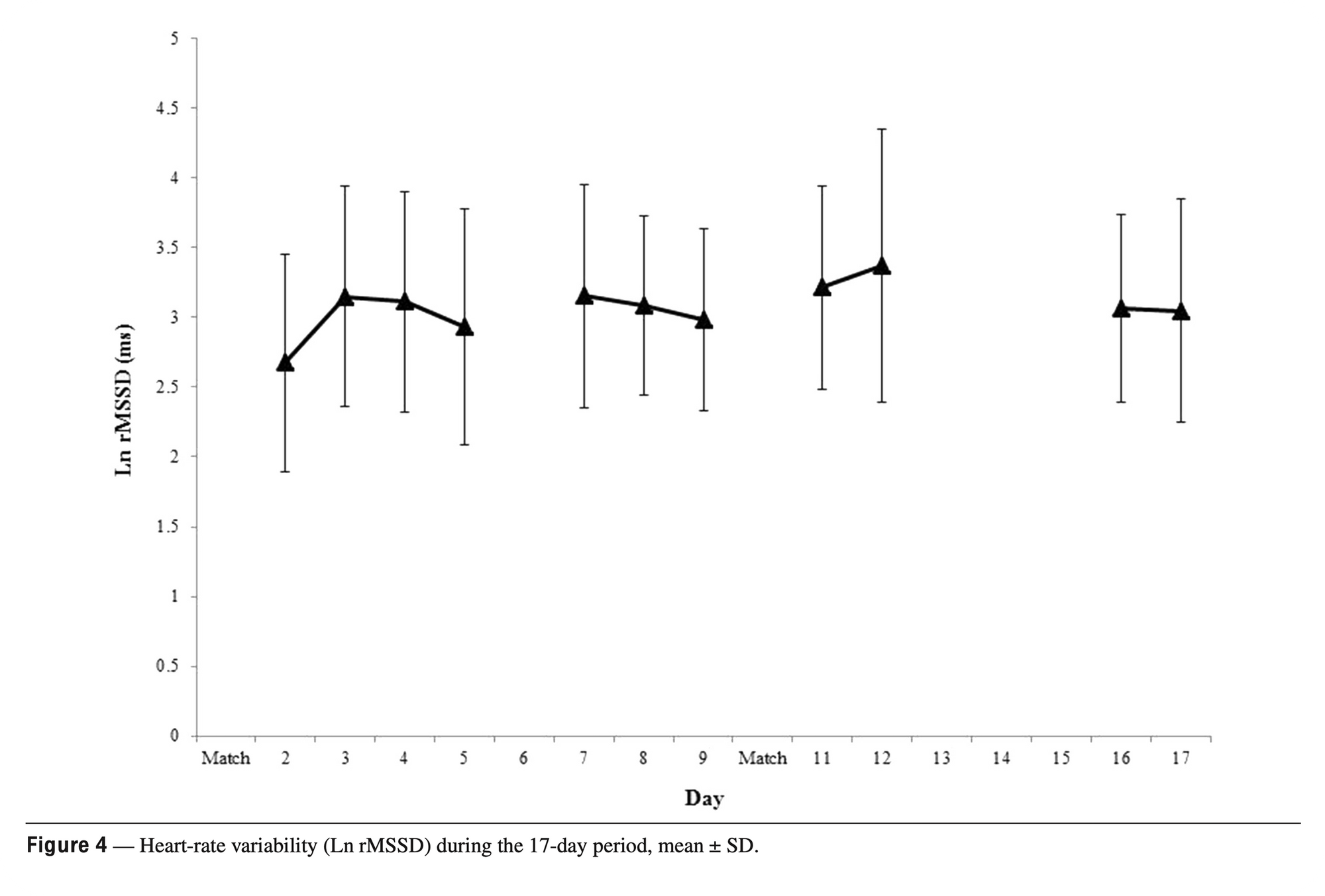
(그림 4) 17일간 심박수 변인

편상관분석(95% CI), 최소제곱회귀기울기 (B), 트레이닝 부하(총 고강도 러닝 거리)와 피로 변인 간 상관관계

논의
- THIR 거리는 경기와 회복 시 그리고 낮은 부하까지 1528m에서 235m까지 다양하게 측정됐다.(GPS 데이터).
- 선수들의 피로에 대한 인식 점수와 매일 측정된 THIR 거리 간 매우 높은 상관관계를 나타냈다. 회귀 모델 분석 결과 THIR의 거리가 매 400m 증가할 때마다 피로 점수가 1점씩 낮아진 것을 알 수 있었다.
- 관련된 선행 연구에서는 수면의 질과 피로, 근육 통증에 대한 일일 자가 척도 점수가 엘리트 AFL 선수들의 프리시즌 훈련 시간 동안 일일 훈련 부하와 통계적으로 유의한 상관관계를 나타냈다. 하지만 본 연구에서는 일일 훈련 부하와 수면의 질, 근육 통증과는 유의한 상관관계를 보이지 않았다.
- 위의 상반된 결과는 이전의 선행 연구가 프리 시즌 주기화 시기상 높은 훈련량과 강도로 인해 수면과 통증에 더 큰 영향을 주었기 때문일 것으로 생각된다. 하지만 축구는 시즌 내 경기의 빈도수가 높기 때문에 체력 회복과 유지에 집중 되어있다 보니 일반적인 훈련 주간 동안 수면과 통증에 대한 선수들의 인식이 다를 것으로도 판단된다. 종합하면 시즌 시기 및 종목에 따른 상관관계가 다르게 나타날 수 있다는 것이다.
- 본 연구에서는 미주신경 관련 Ln rMSSD와 THIR 간 유의미한 상관관계를 발견했는데, THIR 거리가 매 300m 증가할 때마다 심박 변이도 변인 단위가 1씩 감소한다는 것을 나타냈다. 이는 훈련 부하가 커질수록 교감 우성(sympathetic dominance)이 높아진다는 것을 의미한다. 또한 심박수 회복에서는 THIR와 유의한 상관관계를 나타내지 않았다.
- CMJ(CounterMovement Jump)는 THIR 거리 간 작은 양의 상관관계가 나타났다. 즉, 총 최대 강도 러닝 거리가 늘어날 수록 신경근의 활성화가 일어나 점프의 높이가 높게 나타난다는 의미이다. 이와 유사한 연구 결과에서는 엘리트 청소년 축구 선수들을 대상으로 일주일의 훈련 과정에서 THIR와 CMJ 간 상관관계가 유의미하게 나타나지 않았는데 이는 THIR의 거리가 36~106m로 본 연구의 거리(235~1529m)보다 매우 작은 양이었기 때문에 신경근을 자극하는데에 무리가 있었을 것으로 판단된다. 그리고 엘리트 선수들은 종종 높은 훈련이나 경기 직후 최대한의 폭발적 움직임 수행을 꺼려하기 때문에 THIR 거리에 대한 CMJ 확인은 제한점이 있었을 것이다.
- 이 연구의 한계점은 고강도 달리기가 시속 14.4km 초과 속도에서만 THIR 거리를 적용한 것이어서 선수 개개인의 체력 수준을 고려하지 않았다는 것이다.